— 行業資訊 —
大中電機歡迎您
全國免費客服電話 187-1797-6220
地址:上海市松江區莘磚公路399弄
電話:021-6992-5088
手機:187-1797-6220 朱經理
郵箱:18717976220@163.com
發布時間:2021-04-07 17:14
同步電動機是恒速電動機。它們以電源的同步速度運行。它們通常用于空載條件下的恒速運行,以提高功率因數。在給定的額定值下,同步電動機的損耗要小于感應電動機的損耗。

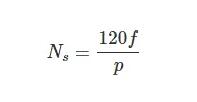
其中,f =電源頻率,p =極數。
如您所見,同步速度取決于電源頻率和轉子的極數。更改極數并不容易,因此我們不使用該方法。但是,利用固態設備的發明,可以改變饋送到同步電動機的電流的頻率。我們可以通過更改電動機電源的頻率來控制同步電動機的速度。
我們可以結合使用整流器和逆變器來控制同步電動機的速度。它們可以以兩種方式使用:

在這種方法中,同步電動機由變頻器以開環方式提供。所謂開環,是指沒有反饋到電源。逆變器沒有有關轉子當前位置的信息。當不需要高精度的速度控制時,這種方法是可取的。來自電網的電源被饋送到整流器逆變器裝置中,在此處可獲得所需的頻率。根據頻率,可以改變電動機的同步速度。

在上圖中,您可以看到速度控制驅動器的框圖。使用整流器將來自市電的三相電源轉換為直流電。然后,使用LC濾波器對波動的dc進行平滑處理。直流電被饋送到逆變器。這些逆變器可以是電壓源逆變器或電流源逆變器。可以改變供應給電動機的電源的頻率,并因此可以完成同步電動機的速度控制。當許多電動機需要以完全相同的速度運行時,開環運行非常有用。但是這種方法有一個缺點。此方法導致自發振蕩或振蕩。

當需要高精度的速度控制時,我們使用自同步(閉環)操作。在這種方法中,逆變器的輸出頻率由轉子的速度決定。轉子的速度反饋到微分器。預設速度和實際速度之間的差被饋送到整流器。因此,逆變器改變頻率并調節電動機的速度。通過閉環操作,我們可以更精確地控制電動機速度。例如,如果速度降低(由于負載增加),則定子供電頻率會降低,從而使轉子與定子磁場保持同步。此方法不會發生自發振蕩或振蕩。
相關推薦
在線留言